22.(本小题满分14分)

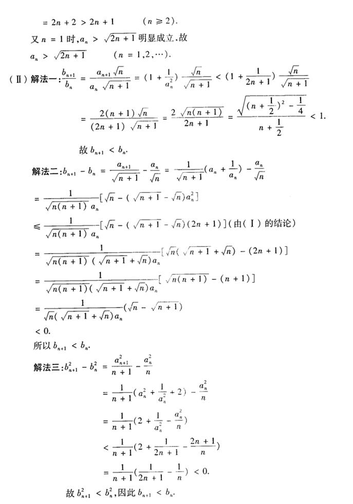
      设数列满足

(1)     证明对一切正整数n 成立;

(2)  ,判断的大小,并说明理由。

 

 

 

本课件完全公益,使用过程中有任何问题,或想参与新课件制作,请加开心教练QQ:29443574