三、解答题
(22)(本小题满分14分)
已知数列
满足![]()
(I)求数列
的通项公式;
(II)
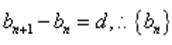
若数列|bn|满足
,
证明:|bn|是等差数列
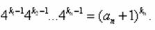
(Ⅲ)证明:
(22)本小题主要考查数列、不等式等基本知识,考查化归的数学思想方法,考查综合解题能力。满分14分。
(I)解:
∵![]()
![]()
是以
为首项,2为公比的等比数列。
![]()
即 ![]()
(II)证法一:
∵![]()
![]()
①
②
②-①,得![]()
即![]()
![]()
③-④,得 ![]()
即 ![]()
![]()
是等差数列。
证法二:同证法一,得
![]()
令
得![]()
设
下面用数学归纳法证明 ![]()
(1)当
时,等式成立。
(2)假设当
时,
那么

这就是说,当
时,等式也成立。
根据(1)和(2),可知
对任何
都成立。
∵
是等差数列。
(III)证明:∵


∵

