三、解答题
(22)(本小题满分14分)
如图,双曲线
=1(a>0,b>0)的离心率为
,F1、F2分别
为左、右焦点,M为左准线与渐近线在第二象限内的交点,且
.

(Ⅰ)求双曲线的方程;
(Ⅱ)设A(m,0)和B(
,0)![]()
是x轴上的两点.过点A作斜率不为0的
直线l,使得l交双曲线于C、D两点,
作直线BC交双曲线于另一点E.证明直线DE垂直于x轴.
本小题主要考查双曲线的标准方程和几何性质、直线方程、平面向量、曲线
和方程的关系等解析几何的基础知识和基本思想方法,考查推理和运算能力.
满分14分.
(Ⅰ)解:根据题设条件,F1(-c,0),F2(c,0).设点M(x,y).则x、y满足

因e=
,解得M(-
),故

=
利用a2+b2=c2,得c2=
,于是a2=1,b2=
.因此,所求双曲线方程为
x2-4y2=1.
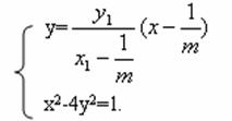
(Ⅱ)解:设点C(x1,y1),D(x2,y2),E(x3,y3),则直线l的方程为
y=
(x-m).
于是C(x1,y1)、D(x2,y2)两点坐标满足

将①代入②得
(x12-2x1m+m2-4y12)x2+8my12x-4y12m2-x12+2mx1-m2=0.
由x21-4y21=1 (点C在双曲线上),上面方程可化简为
(m2-2x1m+1)x2+8my12x-(x12-2mx1+m2x12)=0.
由已知,显然m2-2x1m+1≠0.于是x1x2=-
.因为x1≠0,得
x2=
同理,C(x1,y1)、E(x3,y3)两点坐标满足

可解得
x3=
所以x2=x3,故直线DE垂直于x轴.
本课件完全公益,使用过程中有任何问题,或想参与新课件制作,请加开心教练QQ:29443574。