1999年
高考解答题
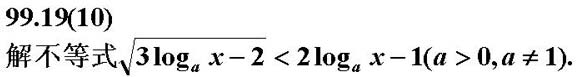
解答
解答
解答
解答
解答
解答
本课件完全公益,使用过程中有任何问题,或想参与新课件制作,请加开心教练QQ:
29443574
。