|
br>
3.3.3 二次函数在闭区间上的最值<-->3.3.5 二次函数的表达式和待定系数法
二次函数与二次方程、二次不等式的关系 二次方程与二次不等式都是二次函数的特例。 当二次函数 的函数值y=0时,即 ,就是一元二次方程。因此:
 当二次函数 的函数值y>0(或y<0)时,即 (或 ),就是一元二次不等式。而y=0是y>0与y<0的“分水岭”,它们之间形成不可分割的内在关系。


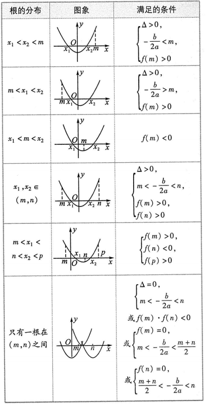
我们初中还学过一元二次方程,其形式为$ax^2+bx+c=0(a≠0)$,那么如何理解一元二次方程与二次函数的关系? 剖析:一元二次方程的根就是相应的二次函数与x轴交点的横坐标.反之,二次函数与x轴交点的横坐标就是相应方程的根.两者关系密切.一元二次方程$ax^2+bx+c=0(a>0)$的两根$x_1,x_2$与对应的二次函数$y=ax^2+bx+c(a>0)$之间的关系如下表.
/2024-10-22/8867e192e3c4f4e4dd0f5b2eb6d12dd9.png)
3.3.3 二次函数在闭区间上的最值<-->3.3.5 二次函数的表达式和待定系数法
全网搜索"3.3.4 一元二次方程与二次函数的关系"相关
|