活在当下,做最好的自己!

收藏夹
我的
首页 > 数学 > 知识详解(高中) > 03基本初等函数(I)

3.4.5 指数函数的图象和性质

指数函数的图象和性质
①定义: 一般地,函数叫做指数函数,其中x是自变量,函数的定义域为R.
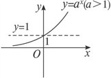
②图象: 
当a>1时

当0<a<1时

③性质:
详解:

(1)比较两个同底数幂大小,可以利用指数函数的单调性来解决;
(2)比较两个不同底数幂的大小,可以找一个“中间值”来过渡,“1”是一个常用的“中间值”,实际上是构造两个指数函数,并利用它们的单调性来求解;
(3)函数的图象关于y轴对称
 

来顶一下
返回首页
返回首页
收藏知识
收藏知识
收藏知识
打印
相关知识
    无相关信息
发表笔记 共有条笔记
验证码:
学习笔记(共有 0 条)
开心教练从2004年开始自费开设这个网站. 为了可以持续免费提供这些内容, 并且没有广告干扰,请大家随意打赏,谢谢!,
(微信中可直接长按微信打赏二维码。)
微信 支付宝