|
br>
5.3.5综合问题<-->5.4.2三角函数的定义域和值域
五点法 〖定义〗正弦函数的图象在[0,2π]上有五个起关键作用的点,只要描出这五个点,函数y=sinx在[0,2π]上的图象的形状就基本上确定了,我们称之为“五点法”。 这五点是: , , , , ,可分别称之为始点、最高点、拐点、最低点、终点。
详解:
〖概念辨析〗 1、观察正弦曲线,余弦曲线可知,在区间 上,以上五个点分别是最高点,最低点以及与x轴的交点,在确定函数的图象形状起到关键作用。 2、在精确度要求不太高时,我们常常先描出这五个点,然后用光滑的曲线将它们连接起来,就得到在相应区间内正弦函数、余弦函数的简图, 〖相关知识〗正弦曲线
正弦曲线 〖形成〗用正弦线画函数y=sinx,x∈[0,2π]的精确图象:
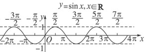
 〖定义〗我们只要将y=sinx,x∈[0,2π]的图象向左、向右平行移动(每次2π个单位长度),就得到正弦函数的图象如下图所示:
 正弦函数的图象叫做正弦曲线。
余弦曲线 〖形成〗用余弦线画函数y=cosx,x∈[0,2π]的精确图象:
 〖定义〗我们只要将y=cosx,x∈[0,2π]的图象向左、向右平行移动(每次2π个单位长度),就得到余弦函数的图象如下图所示
 余弦函数的图象叫做余弦曲线。
详解:
〖概念辨析〗 能否利用正弦曲线做出余弦函数的图象呢? 由诱导公式有 ,因此,将正弦函数的图象左移 个单位,即得到余弦函数的图象。 〖相关知识〗正弦曲线
正切曲线 〖形成〗用正切线画函数y=tanx, 的精确图象:
 〖定义〗我们只要将y=tanx, 的图象向左、向右平行移动(每次π个单位长度),就得到正切函数的图象如下图所示
 正切函数的图象叫做正切曲线。 |