活在当下,做最好的自己!

收藏夹
我的
首页 > 数学 > 知识详解(高中) > 13立体几何初步

13.3.3 柱、锥、台体的体积

空间几何体的体积
(1)柱、锥、台的体积:
①柱体体积:柱体的体积是,其中S是底面面积,为柱体的高。
特别地,棱长为的正方体的体积
长、宽和高分别为的长方体的体积为
底面半径为高为的圆柱的体积是
②椎体体积:锥体的体积是,其中是底面面积,为锥体的高。
特别地,底面半径为高为的圆锥的体积是
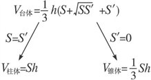
③台体体积:由于台体是由椎体截成的,因此可以利用两个锥体的体积差,得到台体的体积公式,其中分下底面面积,为台体的高。
特别地,底面半径为高为的圆台的体积别为V=
④柱体、椎体、台体体积的关系:柱体可以看作是上、下底面相同的台体,锥体可以看作是有一个底面是一个点的台体。当时,台体的体积公式变为锥体的体积公式;当时,台体的体积公式变为柱体的体积公式,因此,柱体、锥体的体积公式可以看作台体体积公式的“特殊”形式。它们之间的体积关系为:
来顶一下
返回首页
返回首页
收藏知识
收藏知识
收藏知识
打印
相关知识
    无相关信息
发表笔记 共有条笔记
验证码:
学习笔记(共有 0 条)
开心教练从2004年开始自费开设这个网站. 为了可以持续免费提供这些内容, 并且没有广告干扰,请大家随意打赏,谢谢!,
(微信中可直接长按微信打赏二维码。)
微信 支付宝